[next] [prev] [up]

Diskretisierung des Laplace-Operators

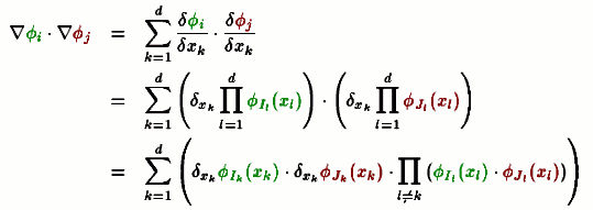
Für den Laplace-Operator ergeben sich in der Stiffness-Matrix folgende Einträge

Für das Produkt ergibt sich: