[next] [prev] [up]

Volles Gitter

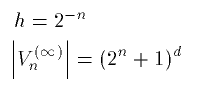
Das volle Gitter ist definiert als:

Das entspricht einem Gitter mit äquidistanten Stützpunkten auf dem Gebiet [0,1]d