[next] [prev] [up]

Eigenschaften des Gitters

Dimension des Raumes Wl auf ]0,1[d:

Beitrag der Basisfunktionen aus Wl:


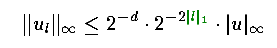
mit der Norm: