[next] [prev] [up]

AH - Gitter

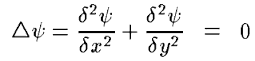
Bei der elliptischen Gittererzeugung löst man eine elliptische Differntialgleichung für die Abbildung psi.
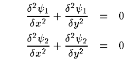
Für das AH (nach Amsden und Hirt) wird die Laplace-Gleichung gelöst.

Für die beiden Komponenten psi1 und psi2 heißt das: